[コンプリート!] 加法 と 減法 639801
Feb 13, 加法・減法 式の計算 0213 文字式では同じ文字の項、すなわち同類項は係数をまとめることができます。 ただし文字が全く同じでないといけません。 そのあたりも問題をたくさん解けば慣れていきますので、しっかり練習してくださいね。問7.次の式を加法は減法に、減法は加法に直しなさい。 (ア)-7 +(-9) (イ)-4 -(-8) (ウ)6 -(-1) (エ)3 +(-7) 問8.次のサッカーの勝敗表の得失点差にあてはまる数字を記 入しなさい。 大磯中学校国府中学校ブラジル得失点差 大磯中学校 2-3 0-3Feb 07, 21「加法」と「減法」が混じった計算の仕方 加減混合(3数以上)の計算では2つのポイントをおさえる! 加法と減法の混じった計算は、加法だけの式になおして計算をする。 計算結果が正の数のときは、+の符号をはぶくことができる。
高校1年 数学i 整式の加法 減法 乗法 指数法則 予習用問題 あかぎのすその
加法 と 減法
加法 と 減法-加法と減法の混ざった計算 加法と減法の混ざった計算や、3数以上の計算は 全てのカッコを外してから、同符号どうしまとめて計算する。 (−3)− (−8) (−7) (−2) (5) ←カッコをひらく ←プラスどうし マイナスどうしまとめる = −3 8 −7 −2 5 = −3 8 −7 −2 5 = (85) − (372) = 13 − 12 = 1 例 (2) (3) (7) = 2 3 7 = (23) 7 = 5 7 = 2Dec 18, 18では、 「加法」 と 「減法」 の説明をしていきます。 「加法」って何? 上記にも触れましたが、 「加法」 とは、 足し算のこと です。 ただ、「53」のように簡単なものは出題されません。 では、例を見てみましょう。 何も変わってないんじゃない?



正負の数 計算の仕方 コツ 加法 減法をマスターしよう 数スタ
加法 と 減法 とは数学用語です。 算数用語でいうと、 加法とは足し算 、 減法とは引き算 のことです。加法と減法の混じった式を、加法だけの式になおしたとき、その式の中の一つ一つの数のことを、 その式の項といいます。 加法だけの式は、かっこと記号+をはぶいて、項だけを並べることであらわすことができます。 例) (3) −(7) = (3) (−7) = 3 −7では、今回も頑張って読み進めてみて下さいね! 負の数を含む四則計算について勉強したい方はこちら! 加法 (足し算)→ 中1数学負の数の足し算のやり方が分からない人必見! 数直線を使った簡単な計算方法を解説! 減法 (引き算)→ 中1数学負の数の引き算が分からない方必見! 数直線を用いた考え方を解説します! 乗法 (掛け算)→ 中1数学負の数
加法減法が用いられる場面はなにも集合数だけに限ったこ とではい.物事の順序を考える場合での加法減法について も十分に理解を深めるような内容を何らかの形でカリキュ ラムに含める必要があろう. 2.日米の差異May 05, 19加法と減法 このページは書きかけのページになります! 足し算を加法といい「」で表し結果を和と言い、引き算を減法といい「」で表し結果を差と言う。 数の記号「、」と加法減法の「、」は意味が異なるものです。 目次正の数、負の数の加法・減法 次の計算をしましょう。 問題集の無料ダウンロードサイトは「おかわりドリル」で検索 https//wwwokadorinet
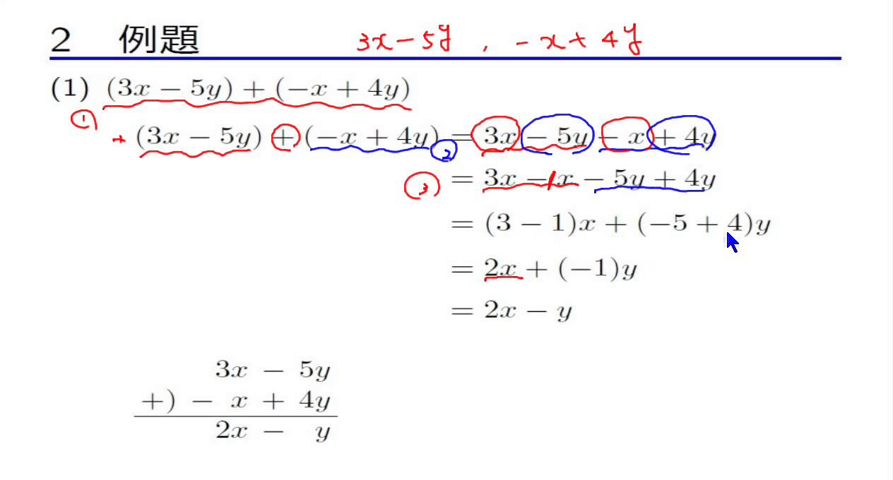
式の加法・減法 多項式の加法 それぞれの式にかっこをつけて、でつないぐ。 計算するときは かっこをそのままはずして同類項をまとめる。 例 7x4yと 12x5yをたす (7x4y) (12x5y) ↓かっこをはずす =7x4y12x5y ↓同類項をまとめる =(712)x(45)y =19xy 多項式の減法Aug 09, また、加法 (足し算)は「前に進む」、減法 (引き算)は「後ろに下がる (ムーンウォークする)」という設定にします。加法,減法(1 位数どうし)の指導では, 演算の意味を式や言葉で表現するとともに, それらをブロックなどを用いた活動と対応 させ,理解を図ることが重要になります。



正負の数の減法 引き算 と 加法と減法の混じった計算 教遊者



中学数学2年 多項式の加法と減法 受験の月
数学Ⅰ eテレ 毎週 月曜日 午後2:10~2:30 ※この番組は、21年度の新作です。加法と減法(足し算と引き算) 加法と減法(毎回異なるプリントが作られます) 「71 9」のような計算 乗法(かけざん) 乗法(毎回異なるプリントが作られます) 「10 * (2)」のような計算Apr 15, 加法・減法の縦書きのやり方 step1.同類項に注目する step2.同じ同類項を縦に並べる step3.縦に計算する 乗法の縦書きのやり方 step1.式を降べきの順に整理する step2.同類項に注目する step3.同じ同類項を縦に並べる step4.縦に計算する



中1 数学 中1 19 文字式の加法 減法 Youtube



中1 数学 正負の数 減法 中学生 数学のノート Clear
May 11, 19整式の加法とは、「整式同士」を足すだけのこと。 整式の減法とは、「整式同士」を引くだけのこと。 ①問題文にある「a」や「b」の部分に、当てはまる整式を代入する。;Jun 12, 19減法であるのに、加法が含まれるので、加法と減法の混同を招くこともある。 (中略) 繰り下がりのある減法計算は、2年以降の筆算を考えた場合、減加法が適しているため、小学校1年生の教科書では、減加法の考え方が示されている。Aug 14, 18正,負の数の加法・減法定義加法:足し算和:加法の結果減法:引き算差:減法の結果 同符号の2数の和は,絶対の和に,共通の符号をつける。 異符号の2数の和は,絶対値の大きい方から小さい方を引いた差に,絶対値の大きい方の符号をつける。 異符号



まる先生 マイナスに慣れよう 負の数の加法減法 加法 減法はつな引きで まる練 自宅学習 家庭学習 テスト対策 テスト勉強 マンガで勉強 中学数学 負の数 まる練数学



数と式 加法と減法って何 加法 たし算 と減法 ひき算 を計算するの巻 Vol 6 3回読めば 絶対理解できる看護受験数学 Kazアカデミー 大阪の看護学校 看護予備校
Nov 18, 14減法混色 減法混色とは、イエロー(y)・シアン(c)・マゼンタ(m)を組み合わせて色を表現する方法です。 減法混色は、加法混色とは反対に色を重ねるごとに暗くなり、すべてを混ぜると黒(正式には黒に近い色)になります。減法 1 減法 ひき算のことを減法という。また,減法の結果を差という。 正の数・負の数の減法は,ひく数の符号を変えて加法に直して計算する。 2 加法と減法の関係 + a = b = b - a - a = b = b + aJun 05, 15減法 No 1 減法 No 1 解答 加法(たし算)をバッチリ身につけた人なら、減法(ひき算)はすでに身についているも同然! だって、減法は「ほぼ加法と同じ」だもん♪ どういうことかって? プリントの内容をぜひ見てみてね(・_・ )



中1 中1 数学 加法 減法 中学生 数学のノート Clear



本時の目標 正の数 負の数の加法と減法の混じった計算のしかたを理解し その計算ができるようにする Ppt Download
Apr 05, 21整式の整理と加法・減法のポイント 整式は、xについて何次式かの問題は、xの最高次数を答える。 xについての降べきの順の整理は、整式をxについて整理し、次数の高い方(大きい方)から順に並べる。 整式の加法・減法は、同類項どうしの和・差を計算する 定数や数と同じように考えている文字は定数という。 定数項は定数だけからなる項 である。 整式の減法混色 (subtractive mixture) 減法混色は、加法混合の反対の方法です。白で開始し、黒を作成するためにシアン、マゼンタ、イエローの顔料を減らしてゆきます。減法混色が印刷業界で用いられるのは、通常白い紙から作業を開始するからです。→ 印刷用pdf版は別頁 三角関数の加法定理,倍角公式,3倍角公式,半角公式 三角関数の和や積には多くの公式がありますが,「加法定理は覚える,他は作る」というのが,作者おすすめの考え方です。・・・ただし,そういう公式があるということと,およその形は記憶にとどめます。



第1時 を使った加法と減法



加法と減法が混ざった計算 1 中1数学 正負の数9 Youtube
第16回 混色(その 1 ) ・・・・・同時加法混色 と 減法混色・・・・・ はじめに ある色とある色を混ぜ合わして別の色を作ることを 混色 と言います。 子供の頃、水彩絵の具の黄色に赤を混ぜてオレンジ色を作ったりしたことは誰しも経験したことがOct 26, 17加法(足し算)・減法(引き算) の計算方法を丁寧に説明していきます。 中学に入ってすぐに学習する単元なんだけど 数学の基礎中の基礎と言ってもいい部分だから しっかりと理解しておきたいね! 今回学習する正負の数の計算を ちゃんとできるようにしておかないと 他の単元でも苦労することになっちゃうから 気合を入れて頑張っていきましょう!Jul 06, 19整式の加法・減法・乗法 整式の計算においては、実数のときと同様に以下の計算法則が成立する。 いずれも中学で学習済みであるがここでその内容を確認しておきたい。 交換法則 A B = B A / A B = B A 加法や乗法のみであらわされる計算において、その



中学1年生 数学 無料問題集 正の数 負の数の減法 引き算 おかわりドリル



中1 加法と減法の混じった計算 スタサプノート 中学生 数学のノート Clear
May 03, 中1数学「加法・減法」計算の工夫してみる!を記述しています。 レベル:基礎 頻出度:定期テスト・実力テスト・入試 ポイント:減法は、加法にして計算加法 加法たし算のこと。同符号の2数の和 符号2数と同じ符号 絶対値2数の絶正の数と負の数の加法・減法(たし算・ひき算)の意味を理解し、繰り返し練習できる問題プリントです。 加法、減法 練習問題(1) 答え加法減法(かほうげんぽう)とは、足し算と引き算のことです。下記に示します。 加法 ⇒ 足し算のこと 減法 ⇒ 引き算のこと また加法による解を「和」、減法による解を「差」といいます。加法減法とは下記の計算です。 加法 53=8(和) 減法 5-3=2(差)



Android 用の 國民小學一年級 上學期 數學 加法 減法 有注音 Apk をダウンロード



中1数学基礎ー正負の数ー加法 減法 塾専用教材取扱所
中1数学で学ぶ「加法・減法の計算」のテストによく出る問題(練習)を学習しよう! 加法と減法の問題を見る > すべての授業の「要点まとめノート」「問題・解答」をPDF無料ダウンロードできる 学校で使っている教科書にあわせて勉強できる わからないところを質問できる 会員登録をクリックまたはタップすると、 利用規約・プライバシーポリシー に同意し



無料 中1数学 基本問題 問題プリント 正の数 負の数5 加法 減法2 105



数学 中2 2 式の加法 減法 Youtube



高校数学 分数式の加法と減法 練習編 映像授業のtry It トライイット



中1 数学 正の数 負の数の加法 減法を動画で解説 公式 家庭教師のアルファ



改訂版 3trial数学 P7 1 整式の加法と減法



加法と減法 の勉強法のわからないを5分で解決 映像授業のtry It トライイット



高校受験数学 加法と減法の混じった計算の授業映像 プリント無料配布 Youtube スタディカフェ



勉強プリント 中1数学 正負の数 加法 減法 の問題 Sk総合進学塾のブログ



中学校 平成24年度教科書 数学 チャート式の数研出版



中1 減法 中学生 数学のノート Clear



改訂版 3trial数学 P6 1 整式の加法と減法



数学 イメージがコツ 正負の数の加法と減法 家庭教師のやる気アシスト



中1 数学 正負の数 加法と減法 中学生 数学のノート Clear



最高の加法 と 減法 ページを着色するだけ



正負の数 加法と減法 株式会社みちくさ



例題 整式の加法と減法 Youtube



中1数学 標準問題プリント 正の数 負の数の加法 減法2 問題 105



1 正の数 負の数 2章 正の数 負の数の計算 1 正の数 負の数の加法 減法 8時間 Ppt Download



ぐわー 正負の加法 減法難しい 占星術小説家 酒井日香の占い死ね死ねブログ



7 8 5 9 Descubre Como Resolverlo En Qanda



最高の加法 と 減法 ページを着色するだけ



Android 用の 國民小學一年級 上學期 數學 加法 減法 有注音 Apk をダウンロード



疑問解消 中1数学 正負の数 の計算 つまづきを苦手にしない



本時の目標 正の数 負の数の加法と減法の混じった計算のしかたを理解し その計算ができるようにする Ppt Download



高校数学 分数式の加法と減法 練習編 映像授業のtry It トライイット



ม 1 โน ตของ 中1数学 正負の数 加法 減法 計算問題集 ช น Clear



中学2年数学 式の計算 多項式の加法 足し算 減法 引き算 同類項だけが計算できる 数学の面白いこと 役に立つことをまとめたサイト



加法と減法 の勉強法のわからないを5分で解決 映像授業のtry It トライイット



正負の数 計算の仕方 コツ 加法 減法をマスターしよう 数スタ



無料 中2数学 標準問題 問題プリント 2 式の計算2 加法 減法



最高の加法 と 減法 ページを着色するだけ



中2数学 式の計算 1 4 多項式の加法 減法 Youtube



1 正の数 負の数 2章 正の数 負の数の計算 1 正の数 負の数の加法 減法 8時間 Ppt Download



ม 1 โน ตของ 数学 正と負の数 加法と減法 ช น Junior Clear



Images Of ノート 加法 Japaneseclass Jp



7 8 5 9 Descubre Como Resolverlo En Qanda



無料 中1数学 標準問題 解答プリント 106 正の数 負の数6 加法 減法3



You Will 中1数学 文字の式 Act4 文字の式と加法 減法 は観てくれたかな Facebook



中1必見 正の数 負の数はドラクエでやっつけよう 京都府京都市西京区の個別塾 学習塾 ナビ個別指導学院 桂校ブログ



高校数学 分数式の加法と減法 部分分数分解 受験の月



中学1年生 数学 無料問題集 正の数 負の数の加法 減法 足し算 引き算 おかわりドリル



中1数学 正負の数の加法と減法 すずき なぎさ Note



加法 と 減法 の 混じっ た 計算 Article



加法混色と減法混色 光学総合サイト サイバネット



高校1年 数学i 整式の加法 減法 乗法 指数法則 予習用問題 あかぎのすその



中1数学 正負の数 加法 減法 計算問題のミスを減らす方法 Artemisiapamp



第8回 伝わるチラシの作り方 カラーチラシ 減法混色と加法混色 Npo法人やさしいデザイン もっとすてきな伝わるデザインを



3分で分かる 多項式とは 加法 減法 乗法についてわかりやすく 合格サプリ



正の数 負の数の加法 減法 学習塾 想学館



1 04 加法 減法 カッコなし 分数 読める数学 へんてこ3人組の数学教室 中学



数学 I 整式の加法と減法 高校生 数学のノート Clear



加法と減法 の勉強法のわからないを5分で解決 映像授業のtry It トライイット



18年4月10日 数学 正の数 負の数の加法 減法 オンライン家庭教師 ウェブリー



文字式の筆算のやり方を解説 多項式の加法 減法 数スタ



3分で分かる 多項式とは 加法 減法 乗法についてわかりやすく 合格サプリ



色の混合色の合成 加法と減法 Cmykのベクターアート素材や画像を多数ご用意 Istock



最高の加法 と 減法 ページを着色するだけ



G 1 1 4 Descubre Como Resolverlo En Qanda



加法と減法混色の色チャンネル Rgb および Cmyk Cmykのベクターアート素材や画像を多数ご用意 Istock



7 3 平方根 加法と減法 勉強できようサイト



中1数学 加法 減法 2 Youtube



中1数学2 正負の数の加法 減法 On Vimeo



18年3月2日 数学 整式の加法 減法 乗法 オンライン家庭教師 ウェブリー



改訂版 4step数学 P7 2 整式の加法と減法および乗法



中1数学 正の数 負の数 2 4 減法を加法になおす Youtube



加法と減法 Ict教材eboard イーボード



加法 と 減法 の 混じっ た 計算 Article



高校1年 数学i 整式の加法 減法 乗法 指数法則 予習用問題 あかぎのすその



中1 数学 中1 文字式の加法 減法 Youtube



中1数学 基本 基礎問題 正の数 負の数の加法 減法3 問題 106



7 3 平方根 加法と減法 勉強できようサイト



Times Div Descubre Como Resolverlo En Qanda



中学数学3年 平方根の計算 加法 減法 乗法 除法 と分母の有理化 受験の月



根式的加法和減法 Geogebra



中1 数学 加法 減法 中学生 数学のノート Clear



高校数学i 1 4 整式の加法と減法 Youtube



中学数学 加法 減法



高校数学 分数式の加法と減法 基本 受験の月
コメント
コメントを投稿